
진동신호에서 추정된 잔여유효수명을 이용한 대형 유도송풍기 상태모니터링 및 고장탐지분석
© 2025 KIIE
Abstract
In this paper, the degradation model is assumed and the model parameters are estimated from the vibration signal data of the induced-drift blower, and the result is used to diagnose equipment abnormalities and predict remaining useful life(RUL). Using the field degradation data, the model parameters in the degradation model were estimated using the maximum likelihood estimation method. In the case of the linear degradation model, the slope parameter was tested to find the starting time period of the degradation process and the remaining useful life is estimated repeatedly using the accelerated degradation model. Using the field vibration data the suitable degradation models and the effective monitoring and estimation methods for preventive maintenance are analyzed. Time period 1 to 4 were sections in which degradation of equipment did not occur. For time period 5 to 6, the linear increase in the vibration signal was verified through the linear degradation model. After time period 7, the degradation has been accelerated exponentially. The remaining useful life was estimated through the accelerated degradation model. These results shows that the alert signal in time period 5 to 6, the alarm signal in period 7 to 9, and the warning signal after time period 10 should be displayed based on the diagnostic analysis. The vibration signal data obtained from the Induce-drift blower was used in the degradation model, and the model parameters of degradation model were estimated using the field before the failure obtained from the field to check whether the equipment was deteriorated and whether the residual useful life is enough to delay preventive maintenance to the next time period.
Keywords:
Degradation Model, Fault Detection, Vibration Signal, Remaining Useful Life1. 서 론
본 연구는 제철소(steel works)에서 운전되는 핵심 설비인 유도송풍기의 상태를 진동신호 분석을 통해 모니터링하고 잔여유효수명을 예측하는 효과적인 방안에 관한 논문이다. 장치산업(process industry)의 특성상 하나의 핵심설비에 고장이 발생하면 공장 전체가 정지되므로 현장관리의 가장 주요한 활동이 설비보전관리라고 하여도 과언이 아니다. 제철공정은 쇳물(molten iron)을 생산하고 성분을 조정하여 슬라브(slab), 빌렛(billet) 등으로 주조하는 선강공정(iron and steel making processes)과 고객이 원하는 치수와 재질로 가공하는 압연공정(rolling mill process)으로 나뉜다. 선강공정은 최종제품원가의 절반 이상을 차지할 정도로 주요한 공정이므로 비계획 중단(unplanned shutdown)없이 설비를 가동하는 것은 제철소 원가경쟁력의 향상과 안전과 환경 리스크 최소화에 크게 기여할 수 있다. 선강공정에서 대부분의 핵심 설비들은 부식성 가스 분위기, 고온, 고압, 고속의 조건에서 운영되는 경우가 많으므로 되므로 기계적, 화학적, 열적부하(thermal load)를 지속적으로 받게 된다. 핵심설비가 고장으로 인해 정지된 후 보수를 수행하는 경우 공장가동이 중단되므로 핵심설비에 대한 예지보전(predictive maintenance)은 장치산업에서 가장 중요한 업무 중 하나이다. 고장진단(diagnostics)과 고장예지(prognostics)에서 얻어진 정보는 전체 시스템의 신뢰도를 높이고 효율적으로 설계하는데 기여한다(Morteza, 2021). 예지보전을 위해서는 사전정보가 필요한데, 고장진단은 설비의 이상여부를 알려주고(detection), 고장 위치를 파악(isolation)한 후 고장의 크기나 유형을 파악(identification)하는 인식의 단계이며, 고장예지는 설비가 언제 고장이 발생할지 예측하는 단계이다. 고장예지의 중요한 결과물인 잔여유효수명(RUL, remaining useful life)은 기계가 수리 또는 교체해야 할 때까지 작동 가능한 여유시간을 의미한다. 설비의 이상상태를 예측하기위해 설비의 RUL을 안다면 설비의 수리 일정계획을 체계적으로 수립할 수 있다. 뿐만 아니라 비계획 설비정지시간을 줄여 생산성을 높일 수 있으며 적정 예비품 보유량을 추산하여 재고비용을 감소시킬 수 있을 것이다. 따라서 핵심 설비의 경우 설비 상태의 지속적 모니터링을 통해 고장을 탐지하고 유효잔여수명 추정하는 활동이 중요하다.
제철소 공정 현장에는 설비의 건전성을 확인을 위해 다양한 센서를 부착하여 압력, 유량, 전류, 전압, 온도, 진동과 같은 신호를 실시간으로 수집하고 있다. 장치산업에서는 감속기(gearbox), 송풍팬(blower), 펌프, 전동모터 등 회전기계류(rotating machinery)가 핵심 설비를 이루므로 진동 신호에 대한 분석연구가 가장 많이 수행되고 있다. 진동 신호는 IoT센서를 통해 비교적 저렴한 비용으로 많은 양의 데이터를 수집 할 수 있는 장점을 가지고 있다.
본 논문에서는 진동신호를 이용한설비의 고장진단과 예지보전의 방안을 사례를 통해 제시하고자 한다. 설비에 마모나 균열과 같은 열화(degradation)가 시작되면 진동센서로부터 얻어진 신호는 선형적 또는 지수적으로 증가하는데 이를 분석하므로 설비의 상태 모니터링과 고장 예측을 실시할 수 있을 것이다. 이를 위해 본 연구에서 현장에서 수집된 진동신호데이터를 분석하여 적합한 열화모형을 찾고 이를 기반으로 열화상태지표(degradation state index)가 임계값을 넘는 시기(고장 예측시점)를 예측하고 적절한 대처방안을 제시하고자 한다.
구체적으로 본 논문에서는 선강공정에서 많이 사용되는 대형 유도송풍기 팬 블레이드의 실제 피로파괴 사례에서 수집된 진동데이터를 사용하여 고장진단과 예지가 가능함을 보인다. ISO-10816에서는 대형 송풍기가 운전될 때 발생하는 진동신호에 대해 기계유형별로 진동 속도값의 심각도를 4단계에 걸쳐 임계값을 제공하고 있으므로 이 정보를 사용하여 잔여유효수명을 예측하고 이를 활용하여 설비상태 모니터링과 결함진단이 가능함을 보인다.
2. 선행연구
일반적으로 잔여유효수명을 예측하기 위해 신뢰성기반(reliability-based), 물리기반(physics-based), 데이터기반(data-driven) 접근법이 사용된다. 신뢰성기반 접근법은 사용수명 모형으로서 수명데이터를 이용하며 물리기반 접근법은 고장물리를 기초로 열화현상을 수학적으로 표현한다. 데이터기반 잔여수명 예측 접근법은 수명데이터가 없거나 물리모형을 얻기 어려울 때 추천되는 기법으로 빠른 적용과 개발이 가능하여 응용사례가 많이 연구되고 있다(Elattar, 2016; Soleimani, 2021). Li(2017)는 회전기계의 건전성을 예측하기 위해 DCNN(deep convolutional neural network)을 이용하였으며 보다 나은 특징을 추출하기 위해 시간-창 접근법(time window approach)을 제안하고 효과성을 보이기 위해 항공기 터보팬 엔진 열화 데이터, C-MAPSS를 이용하여 높은 잔여수명 추정시 높은 정확도를 가짐을 보였다. Aydemir(2020)는 변화하는 운전조건에서 적용할 수 있는 AT-RUL(anomaly triggered remaining useful life)를 제안하였다. 연구를 통해 설비가 건전한 상태일 때는 잔여수명 추정이 어려우므로 센서데이터를 모니터링하고 통계적으로 유의미한 변화가 감지되면 성능저하시점으로 간주하고 데이터 기반 잔여수명 추정 모형을 동작하여 추정 정확도를 향상하는 방법을 제안하였다. Lei et al.(2018)은 잔여수명을 예측하는 수학적 모형이 실제 구현에서 발생하는 문제점을 지적하고 성공적인 구현을 위해 예측프로그램 전체를 데이터 수집, 건전성 지표구축, 건전성 단계구분, 잔여수명 예측의 네 가지 기술적 프로세스로 구분하고 다른 연구에서 간과되어온 건전성 지표구축과 건전성 단계구분에 대해 체계적 검토를 수행하였다. Seo and Yun(2019)은 정상 혹은 비정상의 라벨을 가지지 않는 진동신호를 이용하여 통계적 특징추출한 뒤 이것을 2차원 이미지로 변환하고 학습용 입력데이터를 구성하였다. 이를 오토인코더(autoencoder)를 이용하여 학습한 후 재구성오차(reconstruction error)를 모니터링 함으로서 열간 조압연기의 이상을 예지할 수 있음을 보였다. Medjaher(2012)는 베어링에 대한 잔여유효수명 예측을 위해 동적 베이지안 네트워크로 표현되는 가우시안 은닉-마코프 모형(gaussian hidden-markov model)을 이용하였다. 진동신호에서 추출한 주파수 특징을 사용하여 제안된 방법을 이용하여 베어링의 건전성 변화를 확인하였고 베어링의 가속수명에 해당하는 실제 데이터에 적용하여 성능을 검증하였다. Wang(2015)는 베어링의 성능 저하 정보를 활용하여 미래상태를 예측하는 2단계 전략을 제안하였다. 첫 번째 단계에서 건전성이 저하 지점을 감지하고 이후 칼만필터(kalman filter)에 기반한 예측단계를 사용하여 베어링의 잔여유효수명을 추정하였다. Peng(2015)은 실시간으로 복합 피로수명을 예측하는 프레임워크를 제안하였다. 베이지안 추론법과 압전센서로 기계적 강도 저하모형을 결합한 것으로 신호처리 기술을 이용하여 손상진단을 수행하고 감지된 강성저하를 잔여유효수명 예측을 위해 베이지안 추론을 이용하였다. 이러한 많은 연구에도 불구하고 현장에서 수집되는 진동신호를 이용하여 설비의 수명을 예측하고 상태를 모니터링 하기 위한 효과적이고 실용적인 사례연구는 부족하다. 본 연구에서는 산업현장에서 발생된 대형 유도송풍기에서 발행한 고장을 바탕으로 고장시점까지 수집된 진동신호를 이용하여 설비이상을 예지하고 잔여수명예측을 통해 안정적인 설비보전 계획을 수립하고자 한다.
본 논문은 다음과 같이 구성된다. 제2장에서는 선행연구 결과를 확인하고 제3장에서는 잔여유효수명 추정을 위한 접근법의 이론적인 측면을 살펴본다. 제4장에서는 대형 유도송풍기에서 얻어진 진동신호를 이용하여 설비의 잔여수명을 추정하고 얻어진 정보를 이용하여 설비이상을 진단할 수 있음을 보이고 마지막으로 제5장에서는 사례연구의 결과를 요약하고 향후 연구방향을 제안한다.
3. 열화모형기반 설비 고장예지 분석
3.1 확률계수 열화모형
신뢰성 분야에서 연구되고 있는 열화모형은 시간의 함수로서 금속의 마모처럼 물리적 열화의 측정이 가능한 변화모형이거나, 실제 물리적 열화를 직접적으로 측정할 수 없지만 금속피로에 대한 균열측정과 같이 간접적으로 추정 가능한 척도에 관한 변화모형이다. 이러한 시간에 따른 열화정도를 측정한 자료를 열화데이터라고 한다. 열화모형은 열화현상과 관련된 물리적 법칙으로 부터 도출되는데 대부분 미분방정식과 같은 확정적 형태로 정의되지만 모형 계수는 확률분포를 가지는 확률변수로 가정된다. 기존의 확률계수 열화모형가운데 가장 단순한 형태인 선형열화(linear degradation)는 단순 마모 과정에서 자주 발생되며 t 시간에서의 열화량, D(t) = ϕ + θt와 같이 단순 일정 율모형(simple constant rate model) 혹은 일정계수 열화율모형으로 나타낼 수 있다. 여기서 ϕ와 θ는 상수이며 열화량이 시간에 대해 선형적으로 변할 때 적용할 수 있다.
θ가 확률변수인 경우 확률계수모형(random coefficients model)으로 부르며 D(t) = ϕ + θt 로 나타낼 수 있다. 확률증분모형에서는 D(jt) = η[(j - 1)t] + θit과 같이 표현된다. 일정시점 후에는 열화의 진행속도가 빨라지는 경우 아래와 같이 확장할 수 있다(Nelson, 1990).
| (1) |
여기서 이며 만일 임의의 시점에서 열화량, D(t) = L 이라고 하면 아래와 같이 고장까지의 잔여수명은 계산할 수 있다.
| (2) |
| (3) |
| (4) |
| (5) |
위에서 제시된 열화모형의 특징은 일정시점까지는 열화의 진행이 미미하다가 일정시점이후 열화가 급속하게 진행되는 특징이 있다. 여러 구간에서 측정된 열화데이터로 부터 위와 같은 열화모형을 파악하고 잔여수명을 예측하는 것이 본 논문의 연구내용이다. 열화는 비교적 긴 시간에 걸쳐 일어나므로 데이터가 수집되는 시점부터 순차적으로 열화가 시작되는 시점이 포함된 구간인지를 파악하기 위해 각 구간내의 열화데이터를 이용하여 선형모형에서의 기울기가 0인지를 2-샘플 t-검정을 실시한다. 이후 열화가 일어나기 시작하는 구간이 발견되면 지금까지 열화가 일어나지 않는 모든 구간에서의 열화데이터의 평균값이 로 추정된다.
식 (1)에서 제시된 열화모형이외 연구대상이 금속의 종류, 고려되는 고장형태에 따라 다양한 수학적 모형이 가정될 수 있다. 식 (4)는 식 (1)에서 유도된 모형이고 식 (3)은 식 (4)에서 α = 1인 경우로서 선형모형(linear model)이다. 식 (4)는 일반화된 다항함수(generalized polynomial model) 형태이며, 식 (5)는 지수모형(exponential model)을 나타내고 있다. 여기서 일반적으로 ε ~ N(0,12)라고 가정한다. 본 논문에서 추정함수로 사용한 선형모형인 식 (3)과 지수모형인 식 (5)을 고려한 열화모형을 가정할 것이며 열화데이터로부터 매개변수를 추정하기 위해 최대우도추정법(MLE, maximum likelihood estimation)을 사용한다. 지수모형의 우도함수 L(α,β)에 양변에 로그를 취하면 식 (6)을 얻을 수 있고 식 (7)~(9)와 같이 각 매개변수에 대해 편미분하여 극소점을 구함으로서 잔차를 최소화하는 두 매개변수를 수치적으로 구할 수 있다.
| (6) |
| (7) |
| (8) |
| (9) |
3.2 열화모형을 이용한 설비상태 모니터링
설비가 고장 나지 않은 상태에서 실시하는 예방보전은 설비고장을 미연에 방지하므로 고장으로 인한 다양한 손실을 최소화 하고자 하는 활동이다. 예방보전의 다양한 정책 및 방법론에 대한 연구는 지금까지 많이 연구되어 왔다. 그중 한 분야로서 본 논문과 관련된 연구로서 Christer(1999)는 지연시간모형(delay time model, 이하 DTM)을 제안하고 고장은 두 단계 과정으로 발생한다고 간주하였다. 먼저 어떤 초기시간(initial time) u에서 시스템의 부품이 결함으로 인식되고, 결함이 발생한 부품이 지연시간(delay time) h가 지난 뒤 고장에 이르게 된다고 가정한다. 초기시간(u)에는 결함을 관측할 수 없으며 지연시간(h) 동안에는 검사를 통해 결함을 파악할 수 있다고 가정한다. 고장시점(f)은 지연시간 동안 보전작업이 수행되지 않을 경우에 발생한다. <Figure 1>은 Christer가 제안한 DTM의 개념을 표한하고 있으며 열린 원(○)은 결함의 시작시점, 닫힌 원(●)은 고장시점, 수직선은 검사시점(×)을 의미한다. 검사를 통해 결함이 처음 발견된 지 얼마나 되었는지(HLA, how long ago)와 수리가 수행되지 않을 경우 수리가 필수적이기까지 얼마나 더 지연될 수 있는지(HML, how much longer)이며 이 두 시간 간격의 합이 지연시간을 구성한다(Baker, 1994).
본 논문에서는 지연시간의 개념을 확장하여 지연시간 동안 설비가 열화 되는 과정을 선형열화과정(linear degradation process)과 가속열화과정(accelerated degradation process)의 두 단계로 구분하고 이 모형에 근거하여 설비이상을 모니터링하는 방안을 제안하고 사례연구를 통해 구체적인 절차를 설명하고자 한다. 지연시간 동안 진동신호의 변화를 관찰함으로서 금속 균열과 같은 설비의 결함이 언제 발생하고 어떻게 성장하는지 추정하고자 한다. 검사시점에서 실제 진동데이터를 이용하여 최대우도추정법을 기반으로 선형열화모형의 기울기, 절편과 같은 매개변수들을 추정하고 얻어진 기울기 값이 통계적으로 유의미한지를 가설검정을 실시한다. 95%신뢰수준에서 기울기가 0이 아니라는 대립가설을 채택하게 되면 주의 신호를 발생시킨다. 동시에 가속열화구간으로 판정되면 모형의 매개변수를 최대우도추정법을 통해 구한 뒤 잔여유효수명을 계산하여 알람과 경고신호를 발생시킴으로서 설비이상을 효과적으로 모니터링 할 수 있음을 설비고장이 발생한 필드 데이터를 이용하여 보여주고자 한다. 사례 연구에서는 주의신호는 선형열화모형의 기울기가 통계적으로 유의미할 때 발생하였고 알람신호는 예비품 납기기간인 720시간(30일)을 기준으로 하였고 경고신호는 24시간(1일)로 하였다.
3.3 잔여유효수명의 추정
잔여유효수명란 기계가 수리 또는 교체해야 할 때 까지 남아 있는 작동 가능한 시간을 말한다. 설비관리 담당자는 잔여유효수명 정보를 통해 보전일정계획을 수립할 수 있으며 비계획 설비중단을 사전에 예방할 수 있다. 이와 같이 잔여유효수명은 예지보전에서 중요한 정보를 제공한다. 분석에 사용되는 데이터의 종류에 따라 잔여유효수명 추정방법은 달라진다. 수명데이터가 주어질 경우 고장시간의 확률분포와 비례위험모형(proportional hazard model)이 주로 사용되며 고장까지 걸린 시간 데이터를 기반으로 열화 프로파일과 수집된 새 데이터를 비교하여 가장 일치하는 프로파일로 수명을 추정하게 된다. 드물게 설비고장이 발생하는 경우 수명데이터나 고장까지의 시간데이터를 활용하여 잔여유효수명을 추정하는 것은 어렵지만 규정된 임계값이 주어진다면 이를 사용하여 잔여유효수명을 추정 할 수 있다. 예를 들어 센서에서 수집된 데이터에서 추출된 열화상태지표를 계산하여 선형 또는 지수적 증가를 모니터링하고 열화모형에 적합 시킬 수 있으며 열화상태지표가 임계값을 초과하는 시점을 예측하여 잔여유효수명을 추정한다. 시스템과 부품의 잔여유효수명을 예측하는 것은 시스템의 설비보전과 운영에 중요한 정보를 제공하는데, 설비보전 전략을 수립하는데 기초자료가 되며 사후보전에서 예방 혹은 예지보전으로 전환이 가능할 뿐만 아니라, 2차 고장으로 인한 손해 감소, 고장이 발생한 경우 손상된 부품의 잔여수명을 최적으로 이용할 수 있다. 또한, 고장이 가까운 경우에 보전요원에게 주의를 제공하고, 설비보전 계획 수립, 물류지원의 향상, 센서 데이터로부터 서서히 진행되는 숨겨진 마모와 열화고장에 대한 지식축적 등을 들 수 있다.
잔여유효수명을 추정하기 위해서 신뢰성기반, 물리기반, 데이터기반, 하이브리드 접근법을 활용할 수 있다(Elattar, 2016; Soleimani, 2021). 경험기반 고장 예지, 사용수명 모형, 혹은 통계적 신뢰성기반 접근법은 이름은 다르지만 유사한 접근법이다. 이러한 접근법은 물리적 모형을 가지고 있지 않거나 대량 생산되는 부품들에 주로 사용된다. 부품이 고장까지 걸린 시간을 관측하여 얻어진 수명데이터는 잔여유효수명을 추정할 때 고장시간의 확률분포와 비례위험모형을 사용한다. 동일한 부품의 모집단에 대한 대량의 이력 데이터와 부품의 평균고장률에 초점을 두고 분석하게 된다. 이 접근법은 고장유형과 시스템 운영에 대한 어떠한 지식도 요구되지 않으므로 적용이 용이하고 단순하다는 장점을 가지만 부품들의 수명데이터를 쉽게 얻을 수 있는 경우에 사용가능하다. 고장물리기반 고장예지는 고장진단 분야에서 사용되는 주요한 방법론이다. 물리모형은 열화현상과 고장형태의 수학적 표현이므로 모형을 만들기 위해서는 시스템이나 부품을 지배하는 물리현상의 이해가 요구된다. 또한 운전조건과 시스템에 대한 지식, 사용 중에 부품에 가해지는 부하(load)정보가 필요하다. 시스템의 모형화는 마이크로 수준이 될 수 있는데 예를 들면 유한요소해석과 같은 방법을 이용하여 소재 내부의 응력효과를 모형화 한다. 매크로 수준의 모형화를 고려할 때는 부품들 간의 관계를 시스템에 대한 지식에 기초하여 만들어진다. 예를 들어 터보팬 엔진의 열화 모형화는 유동(flow)과 효율저하의 함수와 같이 수학적 방정식으로 모델링된다. 물리모형이 만들어진 후에는 시스템의 모니터링이 수행되고 진단은 모형 성능을 평가하는데 사용된다. 물리모형기반 접근방법은 기어박스, 유압시스템의 고장예지와 같이 열화현상이 수학적으로 모형 할 수 있는 시스템에 주로 적용된다. 열화고장이란 제품의 특성이 점점 열화 되어 치명적인 수준에 도달할 때 고장이라고 판정하며 이러한 고장을 묘사하는 모형을 열화모형이라고 하는데 물리모형에서 얻어진 열화모형은 물리법칙을 따르므로 정확하고 정밀하며 발생한 고장현상에 대해 설명가능하다는 장점이 있다. 규정된 임계값에 대한 정보가 주어지는 경우 이를 사용하여 잔여유효수명을 예측할 수 있다. 데이터기반 고장예지 접근법은 고장물리로부터 열화모형을 얻기 어려울 때 추천되는 기법이다. 데이터기반 고장예지는 물리기반 모형보다 광범위하게 사용되는데 데이터기반 고장예지에 기초한 응용 사례가 많은 것은 빠르게 적용과 개발이 가능하기 때문이다. 최근 연구에서는 데이터기반 접근법에서 주로 인공지능기법을 사용하는데 이것은 이미 만들어진 알고리즘에 대해 작은 수정과정을 통해 적용할 수 있기 때문이다. 알고리즘에 개발 비용이 낮고 시스템에 대한 물리적 현상을 거의 이해할 필요가 없으므로 고장예지 시스템 개발자들에게 선호되는 접근법이다. 개발된 알고리즘은 다른 시스템에 사용하기 위해 약간의 조정으로 재사용 될 수 있을 뿐만 아니라 시스템 거동에 대한 숨겨진 관계를 학습할 수 있다. 그러나 시스템에 대한 물리적 지식과 정보가 없으므로 결과를 직관적으로 이해하기 어렵다는 단점이 있다.
4. 사례연구
본 절에서는 사례연구로서 대형 유도송풍기의 열화모형에 기반한 상태모니터링과 잔여수명분석을 하고자 한다. 대형유도송풍기는 정유와 제철, 발전(power plant) 산업에서 핵심설비로 운영되고 있다. 송풍기는 많은 양의 기체를 공급하거나 공정중에 발생한 연소가스를 집진기나 공기청정설비로 이송하기 위해 사용된다. 유도 송풍기는 풍량에 비례하여 부하를 받게 되며 송풍기가 정지 후 가속하는 구간에서 더 큰 부하를 받게 된다. 유한요소해석 결과 블레이드 선단부는 가장 높은 부하를 받는 곳으로 용접된 부위에서 균열이 발생하면 지속적인 운전을 통해 균열이 성장하여 블레이드 파괴에 이를 수 있다. 특히 환경설비의 경우 송풍기 내부를 흐르는 유체는 고온일 뿐만 아니라 일산화탄소, 황산화물, 질소산화물과 같은 부식성 가스를 포함하고 있어 균열이 발생하게 되면 균열 성장을 가속시키므로 설비가 위험한 상태가 될 수 있다. 송풍기의 진동 신호 측정을 위해 팬과 모터 부하측과 반부하측에 센서를 설치하였다. 센서는 진동의 속도값을 측정하며 주파수범위는 10~1000Hz이며 감도는 0~25mm/s 이다. 진동센서는 송풍기의 모터의 부하측(drive side, DE)과 반부하측(Non-drive side, NDE), 팬의 부하측과 반부하측 4곳에 설치되었다. 팬 블레이드의 개수는 11개이며, 모터의 정격출력은 3,450kW, 8극, 유량은 분당 19,000㎥, 압력은 475mmHq, 온도는 145℃, 회전수는 900RPM으로 정속운전된다. 설비의 가동과 비가동시간을 기준으로 비가동시점의 데이터는 제거하였으며 가동후 초기 데이터는 안정화되기 전 시점으로 간주하여 가동 10분 이후 시점의 데이터를 수집하는 전처리 과정을 거쳤다. 데이터는 10초 주기로 수집되었으며 개별 센서의 이상여부를 파악하기 위하여 동일한 종류의 센서를 유도송풍기 모터와 팬에 설치 후 측정하였다.
<Table 1>은 ISO 10816-1에서 제안하고 있는 기계 종류별 진동 속도값의 위험도를 구간별로 나타내고 있다. 본 사례연구에서 사용된 대형 유도송풍기는 단단한 기초위에 운전되므로 ClassⅢ에 해당하며 1.8mm/s까지는 Band A구간으로 만족스러운 상태로 판단하고 2.8~4.5mm/s는 Band B구간으로 불만족스러운 상태로 판단하여 주의신호를 가진다. Band C는 허용되지 않는 위험구간으로 7.10 ~11.20mm/s의 진동크기로 규정하고 있으며 즉시 설비상태를 점검하지 않을 경우 파국고장이 발생할 수 있다.
본 논문에서는 현장 진동신호의 경우 정기적인 수리와 높아진 진동을 안정화시키기 위한 필드 밸런싱(field balancing)작업이 실시되는 상황에서의 데이터를 분석하였다. 필드 밸런싱은 회전체에 불균형점을 찾아 적정한 위치에 균형추(weight)를 부착함으로써 질량균형을 맞추고 이에 따라 진동을 감소시키는 방법이다. 실제 <Figure 3>의 왼쪽 그래프에서 4번의 필드 밸런싱 작업구간을 확인할 수 있는데 첫 번째 필드 밸런싱은 정기수리시에 실시되었으며 나머지 3번은 진동 이상상승이 발생하여 설비를 긴급 정지 시킨 뒤 필드 밸런싱이 수행되었다. 이렇게 진동의 크기가 지수적으로 상승하는 것은 블레이드에서 발생하는 피로균열이 미세한 진동을 일으키고 진동은 다시 균열을 성장시키는 양성 피드백(positive feedback) 효과가 발생했다고 추정된다. 일단 발생된 균열은 자연적으로 회복되지 않고 지속적으로 증가한다는 점에 착안하여 이전 진동신호의 수준에 다음 진동신호를 연결하는 데이터 전처리를 실시한 결과 설비가 가속적으로 열화되고 있음을 <Figure 3>의 오른쪽 그래프에서 확인할 수 있다. 4차례 필드 밸런싱을 통해 진동이 낮아지는 효과를 얻었다. 실제 Sequence 7에서 8로 변화시 3.97mm/s에서 1.18mm/s로 8에서 9로 변화시 4.83mm/s에서 0.72mm/s로, 10에서 11로 변화시 5.98mm/s에서 2.95mm/s로 11에서 12로 변화시 5.05mm/s에서 1.69mm/s로 낮아졌다. 기계적 열화의 경우 초기 변화량은 크지 않으므로 선형모형에 적합하며 가속 열화되는 경우 변화량이 급격히 증가하는 특성을 가지므로 지수모형을 선택하였다. 데이터는 유도송풍기의 모터 부하, 반부하측, 팬의 부하, 반부하측에서 수평방향 진동성분을 추출하였다.
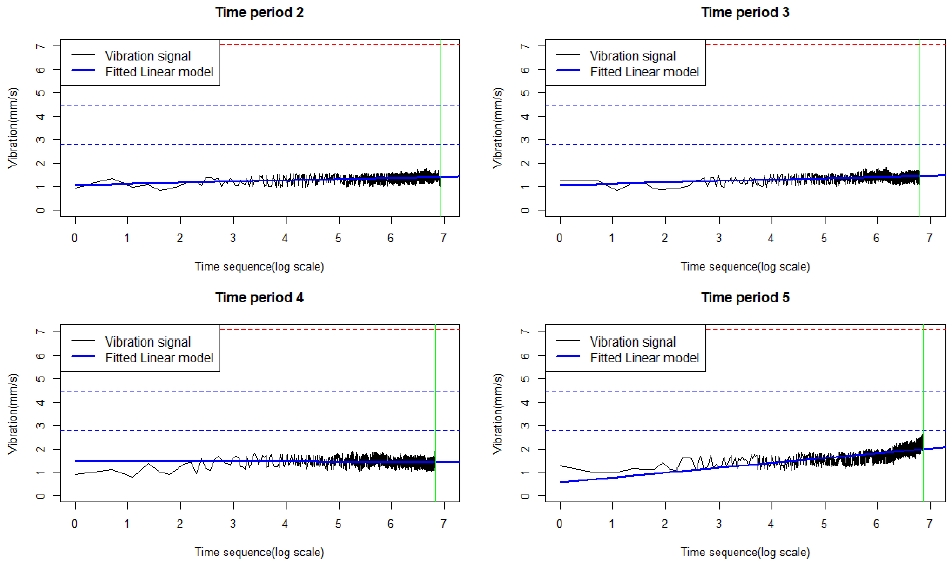
본 논문에서는 진동의 크기가 가장 크게 나타난 팬의 반부하측 진동신호를 분석대상으로 하였으며 데이터셋을 설비를 가동하고 중지한 구간을 기준으로 12개의 Time period로 나누어 분석을 실시하였다. 본 논문에서 설정한 주의(alert)의 기준은 선형모형의 0 이 아닌 기울기의 추정값()이 95% 신뢰수준에서 채택하게 될 때로 하였다. 알람기준은 720시간(30일)으로 설정하였는데 이는 예비품의 납기인 30일을 고려한 것이다. 경고신호는 24시간 이내에 7.1mm/s에 도달할 것으로 예상되는 경우 발생하는 것으로 하였다. <Table 2>는 Time period 별로 ISO 10816-1을 기준 알람 결과와 선형모형, 지수모형에 기반한 매개변수의 추정치와 잔여유효수명을 나타내고 있다. <Figure 4>는 Time period 2~5까지의 진동크기 변화와 선형모형에 적합 시킨 그래프를 도시하고 있다. 가로축은 시간을 나타내며 긴 시간 동안 작은 변화를 잘 나타내기 위해 로그변환하여 표시한 것이다. Time period 1~4구간에서는 선형모형으로 적합 시켰을 때 기울기의 추정치()가 0이라는 귀무가설(H0)을 세운 뒤, 95%신뢰수준에서 2-샘플 t-검정을 실시한 결과 p-값이 0.492, 0.063, 0.056, 0.598로 나타나 모두 라는 귀무가설이 채택되었다. 이것은 Time period 1~4에서는 통계적으로 의미 있는 변화가 발생하지 않았음을 의미한다. 그러므로 잔여유효수명을 계산할 필요가 없으며 잔여유효수명 추정은 의미가 없었다. <Figure 4>에서 그래프의 변화를 보면 진동의 Time period 5부터 크기가 점차 상승하고 있는 것을 확인할 수 있는데 기울기에 대한 가설검정 결과 Time period 5부터는 라는 대립가설(H1)이 채택되었고, 이것은 진동의 크기에 변화가 발생하였음을 의미하며 기울기가 유의미한 구간인 Time period 5부터 주의신호를 발생시킬 수 있다. 지수모형의 파라미터를 최대우도추정법으로 구하였으며 잔여유효수명을 계산한 결과 Time period 5에서는 8,712시간(363일) 뒤 진동의 크기가 7.1mm/s에 도달할 것으로 추정되었다.
<Figure 5>와 <Figure 6>은 Time period별로 지수모형에 적합시킨 것이며 <Figure 7>과 <Figure 8>은 Time period 4를 기준으로 데이터를 누적해가며 지수모형에 적합 시킨 결과를 나타내고 있다. <Table 2>를 보면 Time period 6에서는 잔여유효수명이 6,226시간(259일), Time period 7에서는 1,578시간(65.7일), Time period 8부터는 잔여유효수명이 급격히 감소하여 알람발생 기준보다 낮은 652시간(27.1일)로 나타나 알람신호를 발생하였다. <Figure 5>에서 Time period 7이후부터 진동의 크기가 급격하게 상승하고 있음을 확인할 수 있는데 이는 균열에 의한 진동이 가속적으로 증가하고 있음을 추정할 수 있다. 실제로 Time period 9에서는 잔여유효수명이 888시간(37일)로 잠시 증가하였지만 Time period 10에서는 168시간(7일)로 급격히 감소하였다.
본 사례연구에서 일시적으로 잔여수명이 증가한 것은 필드 밸런싱 직후 일시적인 진동크기 감소와 함께 일시적인 진동 상승율(기울기)감소가 반영된 것으로 추정된다. 실제 균열과 마모와 같은 물리현상에서는 기본적으로 잔여수명이 지속적으로 감소하는 것이 일반적이다. 사례연구에 사용된 진동 데이터는 필드 밸런싱이 4번 수행되었고 이때 질량균형에 의한 일시적인 안정상태에서 회전하게 되어 진동의 크기가 감소할 뿐만 아니라 시간에 따른 진동상승의 크기, 즉 기울기도 일시적으로 감소하는 것으로 보인다. 이후 Time period 11에서는 26시간, Time period 12에서는 이미 한계값인 7.1mm/s에 도달하였고 이후 블레이드가 파손되어 파국고장이 발생하였다. 초기균열이 성장하여 미세한 진동이 발생하는 경우 다시 진동이 균열을 성장시키는 양의 피드백 효과에 의해 가속적으로 열화가 진행하는 경우는 지수형 열화모형으로 열화현상을 보다 더 잘 설명할 수 있었다고 판단된다.
ISO 10816-1에서 제안하고 있는 대형기계(ClassⅢ)의 진동 유의수준에 근거하여 모니터링을 실시한 결과 Time period 7번 구간에서 주의가 발생하지만 전 구간에서 알람은 발생하지 않았다. 이것은 진동이 상승함에 따라 현장에서 진동 안정화를 위해 필드 밸런싱 작업을 수행한 결과 진동이 일시적으로 낮아진 영향을 받은 것으로 여겨진다. 진동상승의 근본적 원인이 블레이드 용접부의 균열인 것을 인지하지 못하고 밸런싱 작업으로 일시적으로 진동을 감소시켰으나 용접부 균열이 확대되어 파국고장이 발생하게 되는 결과로 귀결되었음을 알 수 있었다. 이상의 내용을 종합하면 Time period 1~4구간까지는 열화가 없이 운전되다가 선형모형이 적합한 Time period 5와 6구간을 거쳐 Time period 7구간 이후에 가속적으로 열화가 진행되므로 지수열화모형이 적합하며 Time period 12에서 파국고장에 도달하였다고 추정할 수 있다. 열화데이터의 분석을 통해 Time period 5번 구간에서 주의가 발생한 뒤 정기적인 수리일자에 설비에 대한 비파괴 검사 등을 통하여 점검을 강화할 필요가 있었으며 Time period 7번 구간부터 발생한 알람에서는 설비이상이 예상되므로 예비품 납기를 고려하여 발주를 검토해야 했다. 이후 지속적인 모니터링을 통해 잔여유효수명이 급격하게 감소하는 것을 확인할 수 있으므로 송풍기를 정지한 뒤 균열부위를 긴급 수리하는 활동을 실시하였다면 송풍기의 팬 블레이드 파손으로 인한 장기간 공장정지를 막을 수 있었을 것이다.
5. 결 론
본 연구는 제철소의 제선공정과 관련된 연구로서 제선공정은 제품원가의 50% 이상을 차지하므로 이 공정의 핵심설비의 안정적인 운영이 필수적이다. 그러므로 현장에서는 기어박스, 송풍팬, 펌프, 모터에 부착된 센서로부터 진동, 온도, 전류와 같은 물리량이 수집되고 있다. 특히 진동신호는 회전기기의 건전성을 모니터링하고 수명을 예측하는데 유용하게 사용된다. 산업현장에서 수집되는 데이터는 고장여부나 종류에 대한 라벨이 없어 활용에 한계가 있으므로 라벨이 없이 수집되는 설비데이터의 활용에 대한 연구는 현장에서 중요한 문제이다. 본 연구는 대형 유도송풍기의 고장사례연구를 통해 고장여부에 대한 라벨이 없는 진동신호를 분석하여 설비의 이상을 모니터링하고 고장을 탐지할 수 있음을 보였다. 송풍기의 정상적인 운전시작부터 용접부 균열로 인한 블레이드 파손까지 진동신호를 수집하였다. 주기적인 수리와 필드 밸런싱 작업으로 진동신호의 일관성 있는 분석이 어려웠으나 데이터 전처리를 통해 지수적으로 상승하는 패턴을 확인할 수 있었다. 기존에 사용하던 ISO 10816-1에서 제공하는 문턱값 알람을 통해서는 효과적인 설비진단과 예지에 한계가 있었다. 본 논문에서 제안한 가속열화모형을 이용한 잔여수명을 예측함으로써 보다 효과적으로 적절한 시점에 주의와 알람 신호를 발행시킬 수 있었다. 실제 Time period 1~4번 구간에서는 진동신호의 증가에 대해 통계적으로 유의미한 결과를 얻을 수 없었지만 Time period 5번 구간부터 선형모형의 기울기가 유의미한 값(열화의 시작)을 가지는 것으로 판정되었고 이때 유의신호를 발생시켰다. Time period 7번 구간 이후부터는 진동신호가 지수적으로 증가함을 확인하고 잔여유효수명 추정을 통해 알람과 경고를 발생시켰다. 뿐만 아니라 설비의 열화수준을 나타내는 모형을 비교 분석한 결과 열화가 가속화 되는 단계에서는 선형모형에 비해 지수모형이 진동신호의 변화를 더 잘 설명하고 있음을 확인하였다. 진동신호가 급속히 증가할 경우 균열과 같은 설비의 열화가 가속되고 있음을 추정할 수 있었다. 진동상승에 대한 보다 근본적인 원인을 파악하기 위해 비파괴검사 등 설비점검이 요구되었다. 파국고장이 발생한 필드 데이터를 이용한 사례연구를 통해 ISO 10816-1에서 제시하는 문턱값을 이용한 알람체계의 한계를 확인하였다.
향후 연구과제로 열화모형을 확장하여 보다 일반적인 형태의 함수를 활용하거나 수리나 필드 밸런싱의 효과를 포함하는 통계적 열화모형을 고려한다면 더 정확한 잔여유효수명을 추정할 수 있을 것이다. 또한 인공지능기술을 활용하여 대용량 진동 데이터로부터 다양한 특징을 추출하여 분석하면 설비이상의 탐지뿐만 아니라 이상의 형태와 정도에 대한 정보를 얻을 필요가 있다.
References
-
Aydemir, G. and Acar, B. (2020), Anomaly monitoring improves remaining useful life estimation of industrial machinery, Journal of Manufacturing Systems, 56, 463-469.
[https://doi.org/10.1016/j.jmsy.2020.06.014]
-
Baker, R. D. and Christer, A. H. (1994), Review of delay-time OR modelling of engineering aspects of maintenance, European Journal of Operational Research, 73(3), 407-422.
[https://doi.org/10.1016/0377-2217(94)90234-8]
-
Christer, A. H. (1999), Developments in delay time analysis for modelling plant maintenance, Journal of the Operational Research Society, 50(11), 1120-1137.
[https://doi.org/10.1057/palgrave.jors.2600837]
-
Elattar, H. M., Elminir, H. K., and Riad, A. M. (2016), Prognostics: A literature review, Complex & Intelligent Systems, 2(2), 125-154.
[https://doi.org/10.1007/s40747-016-0019-3]
-
Lei, Y., Li, N., Guo, L., Li, N., Yan, T., and Lin, J. (2018), Machinery health prognostics: A systematic review from data acquisition to RUL prediction, Mechanical Systems and Signal Processing, 104, 799-834.
[https://doi.org/10.1016/j.ymssp.2017.11.016]
-
Li, X., Ding, Q., and Sun, J. Q. (2018), Remaining useful life estimation in prognostics using deep convolution neural networks, Reliability Engineering & System Safety, 172, 1-11.
[https://doi.org/10.1016/j.ress.2017.11.021]
-
Medjaher, K., Tobon-Mejia, D. A., and Zerhouni, N. (2012), Remaining useful life estimation of critical components with application to bearings, IEEE Transactions on Reliability, 61(2), 292-302.
[https://doi.org/10.1109/TR.2012.2194175]
-
Nelson, W. (1990), Accelerated testing, John Wiley & Sons.
[https://doi.org/10.1002/9780470316795]
-
Ning, Y., Wang, G., Yu, J., and Jiang, H. (2018), A feature selection algorithm based on variable correlation and time correlation for predicting remaining useful life of equipment using rnn, In 2018 Condition Monitoring and Diagnosis (CMD), 1-6.
[https://doi.org/10.1109/CMD.2018.8535843]
-
Peng, T., Liu, Y., Saxena, A., and Goebel, K. (2015), In-situ fatigue life prognosis for composite laminates based on stiffness degradation, Composite Structures, 132, 155-165.
[https://doi.org/10.1016/j.compstruct.2015.05.006]
- Seo, S. K., Kim, H. K., Bae, S. J., and Yun, W. Y. (2020), Reliability Engineering, Kyomungak.
- Seo, S. K., Lee, S. J., and Cho, Y. H., (2006), Statistical Analysis of Degradation Data under a Random Coefficient Rate Model, Korean Society For Quality Management, 34(3), 19-30.
-
Si, X. S., Wang, W., Hu, C. H., and Zhou, D. H. (2011), Remaining useful life estimation: A review on the statistical data driven approaches, European Journal of Operational Research, 213(1), 1-14.
[https://doi.org/10.1016/j.ejor.2010.11.018]
-
Sikorska, J. Z., Hodkiewicz, M., and Ma, L. (2011), Prognostic modelling options for remaining useful life estimation by industry, Mechanical Systems and Signal Processing, 25(5), 1803-1836.
[https://doi.org/10.1016/j.ymssp.2010.11.018]
-
Soleimani, M., Campean, F., and Neagu, D. (2021), Diagnostics and prognostics for complex systems: A review of methods and challenges, Quality and Reliability Engineering International, 37(8), 3746-3778.
[https://doi.org/10.1002/qre.2947]
-
Wang, Y., Peng, Y., Zi, Y., Jin, X., and Tsui, K. L. (2015), An integrated Bayesian approach to prognostics of the remaining useful life and its application on bearing degradation problem, In 2015 IEEE 13th International Cconference on Industrial Informatics, 1090-1095.
[https://doi.org/10.1109/INDIN.2015.7281887]
-
Zhang, K., Xia, T., Xu, Y., Ding, Y., Zhao, Y., Gebraeel, N., and Xi, L. (2024), A Hybrid Prognostic & Health Management Framework with Scalable Convolution Neural Networks and Adjustable Functional Regression Models. Available at SSRN 4695930.
[https://doi.org/10.2139/ssrn.4695930]
-
Zhao, F., Wang, W., and Peng, R. (2015), Delay-time-based preventive maintenance modelling for a production plant: a case study in a steel mill, Journal of the Operational Research Society, 66(12), 2015-2024.
[https://doi.org/10.1057/jors.2015.20]
서명교 : 동아대학교에서 2001년 산업공학과 기계공학으로 공학사, 2003년 부산대학교 지능기계공학과에서 공학석사, 2020 년 산업공학과에서 공학박사학위를 취득하였다. 2005년부터 2009년까지 SK실트론에서 Fab물류설계 및 제품개발 엔지니어로 근무했으며, 2010년부터 현재까지 포스코에서 스마트팩토리와 설비보전업무를 수행하고 있다. 연구분야는 산업인공지능 기반 신뢰성공학, 시계열데이터 이상탐지, PHM 등이다.
윤원영 : 서울대학교 산업공학과에서 1982년 학사, 한국과학기술원에서 1984년 석사학위, 1988년 산업공학 박사학위를 취득하였다. 부산대학교 산업공학과 교수를 역임하고 2023년부터 부산대학교 산업공학과 명예교수이다. 연구분야는 시스템 신뢰도 설계, 품질정보시스템 개발이다.








